這篇文章介紹了一項關于注射用綠原酸在治療復發高級別膠質瘤中的I期臨床試驗及其長期隨訪結果。

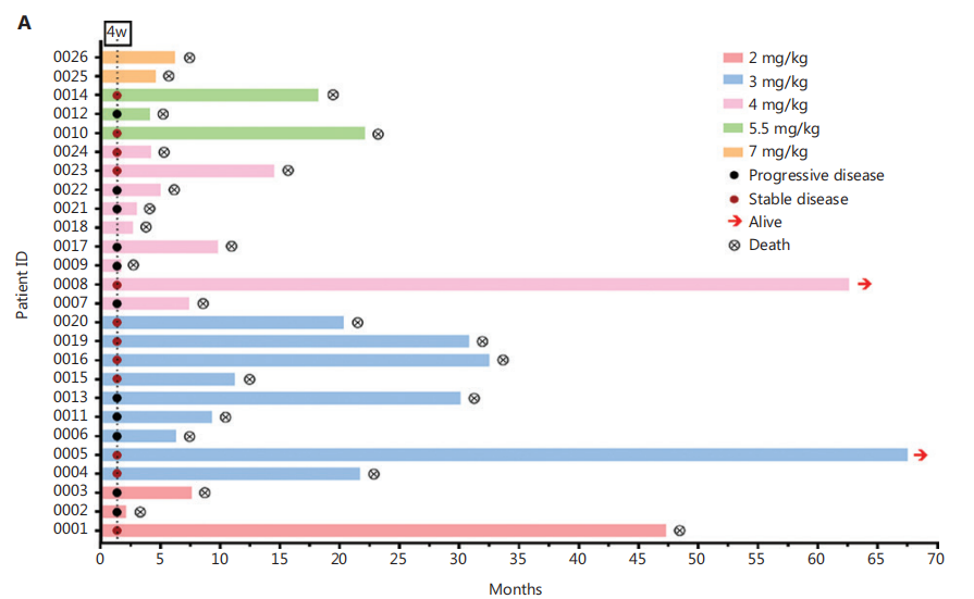
注射用綠原酸治療持續時間和患者反應
研究背景
1、高級別膠質瘤是一種常見且高度侵襲性的成人原發性腦腫瘤,標準治療后幾乎所有患者都會復發,且復發后的中位總生存期(OS)僅為30周。
2、目前針對復發高級別膠質瘤的治療方法有限,現有的治療選項如替莫唑胺(TMZ)和其他藥物的療效有限,且毒性較大。
3、近年來,多種藥物如亞硝基脲類、貝伐珠單抗等被評估用于復發膠質瘤的治療,但結果往往不確定,且毒性較高。
研究目的
1、分析注射用綠原酸在復發高級別膠質瘤患者中的療效和安全性。
2、通過首次人體、開放標簽、劑量遞增的I期臨床試驗,評估綠原酸的安全性、耐受性、藥代動力學特征和抗腫瘤活性。
研究方法
1、共有26名符合條件的患者入組,接受5個劑量水平的肌肉注射綠原酸,并隨訪5年。
2、初始劑量為2 mg/kg,逐步增加至7 mg/kg,采用3+3設計。
3、主要終點是最大耐受劑量(MTD)和劑量限制性毒性(DLT),次要終點包括生活質量、疾病控制率(DCR)、總生存期(OS)和免疫及細胞因子標志物的變化。
實驗設計
1、注射用綠原酸每日一次,連續28天為一個治療周期。
2、在第1天和第30天進行詳細的藥代動力學研究,收集多個時間點的血樣,采用LC-MS-MS方法測定注射用綠原酸的血漿濃度。
3、使用WinNonlin 6.5軟件進行藥代動力學參數計算。
結果與分析
1、注射用綠原酸耐受性良好,最大耐受劑量為5.5 mg/kg。
2、最常見的治療相關不良事件為注射部位的反應,如硬結(92%)和疼痛(12%),無3級或4級不良事件。
3、藥代動力學顯示注射用綠原酸在血漿中迅速消除,第1天的半衰期為0.95-1.27小時,第30天的半衰期為1.19-1.39小時。
4、在23名可評估患者中,52.2%(12名)在第一個治療周期后達到疾病穩定(SD)。
5、長期隨訪顯示,所有23名患者的估計中位總生存期為11.3個月,其中18名4級膠質瘤患者的中位總生存期為9.5個月。
總體結論
1、注射用綠原酸在復發高級別膠質瘤患者中具有良好的安全性,且顯示出初步的抗腫瘤活性和潛在的總生存期益處。
2、這些初步結果為注射用綠原酸在治療復發膠質瘤中的潛在臨床應用提供了依據,并建議在未來的II期臨床試驗中進一步驗證其療效。
這篇文章通過I期臨床試驗的數據,展示了注射用綠原酸在治療復發高級別膠質瘤中的潛力,并為未來的研究提供了方向。